Man vergisst ja beinah, dass das 2017 ins PTAZ verwandelte Operative Abwehrzentrum (OAZ) erst 2012 gegründet worden war – und zwar als direkte Reaktion auf die peinliche Rolle, die Sachsens Ermittler bei den Vorgängen um die rechtsradikale Terrorzelle „NSU“ gespielt hatten. Und die hatten sie gespielt, weil die einmal aus denselben Gründen entstandene „Soko Rex“ 1998 einfach abgeschafft wurde. Genau in dem Jahr, in dem die drei Rechtsradikalen Böhnhardt, Mundlos und Zschäpe in Sachsen untertauchten.
Und natürlich hatte das OAZ von Anfang an richtig zu tun. Denn während Sachsens Landesregierung seit 1998 immer wieder so getan hatte, als gäbe es in Sachsen keine Probleme mit (rechts-)extremer Gewalt, hatten schon vor 2011 immer wieder Fälle organisierter rechter Straftaten für Aufsehen gesorgt. Denn da, wo die Staatsregierung einfach abtauchte und eine unersetzbare Ermittlungseinheit einfach abschaffte, fanden rechtsextreme Organisationen den besten Nährboden, sich ungestört zu verwurzeln und ein ganzes Netzwerk aus Treffpunkten, Versandplattformen und Szeneshops zu schaffen, ganze Gemeinden mit ihrer gewaltbereiten Präsenz einzuschüchtern und in ganzen Regionen auch die Bereitschaft entstehen zu lassen, rechtsradikales Denken zu etablieren.
Gerade 2015, als Deutschland hunderttausende Flüchtlinge aus Krisenländern aufnahm, zeigte sich, wie sehr das schon längst die öffentliche Meinung in ganzen Regionen Ostsachsens hatte kippen lassen. Rechtsradikale Anschläge auf Flüchtlingsunterkünfte fanden öffentlichen Beifall.
Das verheerende Nichtwissen der Staatsregierung mündete in eine nicht mehr beherrschbare Politik, der die heutigen Akteure geradezu ratlos gegenüber stehen. Denn wer die rechtsradikalen Puppenspieler nicht sehen wollte, kann die Auftritte der sogenannten „besorgten Bürger“ nicht verstehen.
Mit Gründung des OAZ aber wurde wieder sichtbar, wie wichtig eine zentrale Ermittlungseinheit gegen extremistische Straftäter ist. War es anfangs als Nachfolgeeinheit der „Soko Rex“ konzipiert und sollte sich wieder um die überall in Sachsen entstandenen rechtsradikalen Netzwerke kümmern, wurde ihm auch bald die Aufgabe mit übertragen, sich auch um linksextremistische Straftaten zu kümmern. Und mit der Umwandlung in das Polizeiliche Terror- und Extremismus-Abwehrzentrum (PTAZ) kam auch noch der Ausländerextremismus hinzu.
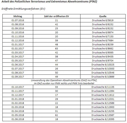
Und die Ergebnisse der Arbeit dieses Zentrums zeigen natürlich recht deutlich, wie es um extremistische Straftaten in Sachsen tatsächlich steht.
Enrico Stange, Sprecher der Linksfraktion für Innenpolitik, erfragt bei der Staatsregierung regelmäßig die Zahl der Straftaten im Bereich politisch motivierte Kriminalität (PMK) in Sachsen und die Zahl der im Polizeilichen Terrorismus- und Extremismus-Abwehrzentrum (PTAZ) bearbeiteten Fälle. Wobei nicht alle Fälle politisch-motivierter Kriminalität auch beim PTAZ landen. Dort landen nur die Fälle von besonderer Schwere oder Bedeutung.
Und es überrascht nicht, dass die Zahl der registrierten Fälle nach den beiden extremen Jahren 2015 und 2016, als gerade die rechtsextremen Gruppierungen in Sachsen glaubten, jetzt ungehemmt Anschläge verüben zu können, ab 2017 wieder leicht gefallen sind. 2018 schon spürbarer.
Was Enrico Stange mit den Worten kommentiert: „Im Vergleich der beiden ersten Quartale 2017 zu 2018 ist die Zahl der PMK-Delikte in allen Bereichen zurückgegangen (Drucksachen 6/12914 und 6/13922). Auch bei den inbegriffenen Gewaltdelikten wurden in den beiden ersten Quartalen 2017 mehr Straftaten gezählt als im Vergleichszeitraum 2018. Ich hoffe sehr, dass dieser positive Trend anhält.“
Am Grundmuster hat sich übrigens seit Jahren nichts geändert: In Sachsen werden drei Mal mehr Straftaten im Bereich politisch-motivierte Kriminalität (PMK) rechts registriert als aus dem linken Spektrum.
„Bei den Gewaltstraftaten halten sich rechts-links etwa die Waage“, stellt Stange fest. „Insgesamt scheinen sie in diesem Jahr rückläufig zu sein. PMK-Ausländer ist eindeutig bei der Prognose auf das Gesamtjahr rückläufig. Die Aufklärungsquote des PTAZ ist leicht gestiegen, dieser Befund wird aber durch die absolut gesunkene Zahl der abgeschlossenen Fälle relativiert – zumal die Zahl der beim PTAZ geführten Fälle deutlich angestiegen ist.“
Was ja eindeutig heißt: Es gibt auch im PTAZ einen Bearbeitungsstau. So wie in den anderen Polizeibehörden des Landes auch. Die Sparpolitik beim Polizeipersonal hat auch in diesem Fall Lücken gerissen und den extremistischen Gewalttätern neue Freiräume geschaffen. Die auch weidlich genutzt wurden, wie man weiß.
„Festzuhalten bleibt, dass die Zahl der abgeschlossenen Fälle deutlich gesunken ist, seitdem das frühere Operative Abwehrzentrum ins PTAZ umgewandelt worden ist. Das gilt vor allem für den Bereich PMK-rechts. Inwieweit es sich um eine mögliche Neugewichtung der zu bearbeitenden Fälle handelt, will ich zunächst nicht mutmaßen“, sagt Enrico Stange.
„Erstaunlich ist dieser Umstand allemal, da nach wie vor die Zahl der Straftaten PMK-rechts die Zahl der PMK-Straftaten links um mehr als das Dreifache übersteigt und die Gesamtzahl der durch das PTAZ geführten Verfahren deutlich gestiegen ist. Ich erwarte vom PTAZ, dass es in der Bearbeitung der Straftaten politisch motivierter Kriminalität nicht nachlässt und keinesfalls einen politischen Filter einsetzt.“
Man merkt schon, dass für Enrico Stange die Befürchtungen aus dem Jahr 2011 noch sehr gegenwärtig sind. Und bis in die jüngste Vergangenheit versuchte ja die sächsische Staatsregierung die Existenz und das Ausmaß rechtsextremer Netzwerke in Sachsen kleinzureden und regelrecht zu ignorieren, statt wirklich die verfügbaren juristischen Mittel zu nutzen, den kriminellsten Akteuren aus diesen Netzwerken das Handwerk zu legen und sie zumindest zeitweise aus dem Verkehr zu ziehen, was aber augenscheinlich wieder an anderen Engpässen scheitert – überlasteten Gerichten und Justizvollzugsanstalten.
„Das OAZ schloss zwischen Juli 2016 und September 2017 insgesamt 377 Fälle PMK-rechts ab und 104 Fälle PMK-links, ein Verhältnis von 1 zu 0,3“, rechnet Stange vor. „Die Gesamtzahl der in diesem Zeitraum durch die Polizei bearbeiteten Fälle PMK-rechts lag bei 2.615 und bei der PMK-links bei 770, ein Verhältnis von 1 zu 0,3. Im Vergleich: Das PTAZ schloss von Oktober 2017 bis Juli 2018 insgesamt 48 Fälle PMK-rechts ab und 56 Fälle PMK-links, ein Verhältnis von 1 zu 1,2. Die Gesamtzahl der in diesem Zeitraum durch die Polizei bearbeiteten Fälle PMK-rechts lag bei 1.269 und bei PMK-links bei 382, ein Verhältnis von 1 zu 0,3.“
Das heißt: Am alten Verhältnis rechtextremer und linksextremer Gewalt hat sich nichts geändert. Aber das PTAZ scheint sich stärker auf die Ermittlung linker Straftaten zu konzentrieren und dafür die von rechtsradikalen Fallkomplexen eher liegenzulassen. Zumindest deuten das die Zahlen so an.
Aber beängstigender ist eigentlich der Bearbeitungsstau insgesamt, der ungefähr im Herbst 2017 eingesetzt hat. Also genau zu dem Zeitpunkt, als das PTAZ mit 241 Bediensteten (198 Polizeivollzugs- und 12 Verwaltungsdienstlern) seine Arbeit aufgenommen hat.
Sachsens Ermittler tun sich noch immer schwer, „Reichsbürger“ als politisch Radikale zu begreifen
Sachsens Ermittler tun sich noch immer schwer, „Reichsbürger“ als politisch Radikale zu begreifen
So können Sie die Berichterstattung der Leipziger Zeitung unterstützen:











Keine Kommentare bisher