Am 14. Oktober tagte einmal wieder die Fluglärmkommission des Flughafens Leipzig/Halle. Was sie beriet und beschloss, wurde hernach wieder nur in schwammigen Aussagen einer Pressemitteilung deutlich. Ein wesentlicher Abstimmungspunkt wurde darin völlig verschwiegen, kritisiert die Bürgerinitiative „Gegen die neue Flugroute“. Denn das wichtigste Steuerungsmittel, den nächtlichen Fluglärm zu reduzieren, verweigert die Kommission einmal mehr.
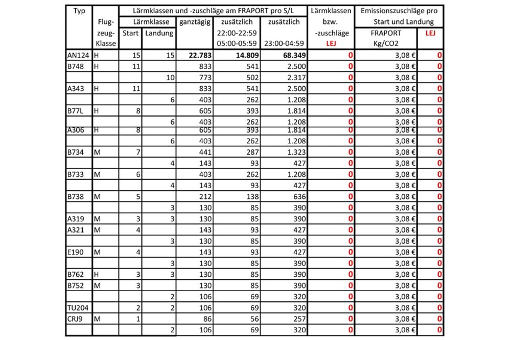
„Wie bekannt, erhebt der Flughafen Leipzig-Halle, im Unterschied zu anderen Flughäfen in Deutschland, weder Lärm- noch Schadstoffgebühren“, kritisiert Matthias Zimmermann, Pressesprecher der Bürgerinitiative „Gegen die neue Flugroute“. „Wie erst jetzt bekannt wurde, gab es zu diesem Thema einen Antrag des Vertreters der Bundesvereinigung gegen Fluglärm, Prof. Dr. Wolf Carius, der die Einführung von nach Tag/Nacht differenzierten Gebühren fordert. Der Antrag wurde von der Mehrheit der FLK-Mitglieder, die ja eigentlich die Fluglärmbetroffenen vertreten sollen, abgelehnt.“
Ein Protokoll von den Sitzungen der Fluglärmkommission gibt es nach wie vor nicht. Weshalb auch niemand außerhalb der illustren Runde erfährt, wer da nun eigentlich wie abgestimmt hat. Denn eigentlich sitzen nur die kommunalen Vertreter und die Bundesvereinigung gegen Fluglärm für die Fluglärmbetroffenen in der Runde. Und sie haben nie die nötige Mehrheit, um wirkliche Lärmreduzierungen zu beschließen. Denn auf der anderen Seite des Tisches sitzen die Flughafenbetreiber und die Abgesandten der Landesregierungen sowie sie die Nutzer der Frachtflughafens.
Bis heute gibt es kein Protokoll von dieser Sitzung. In der Pressemitteilung des FLK-Vorsitzenden, Steffen Schwalbe, wird der Tagesordnungspunkt zu den Lärm- und Schadstoffgebühren verschwiegen.
Die Pressemitteilung zum Nachlesen.
Im Antrag der Bundesvereinigung gegen Fluglärm zur 58. Sitzung der Fluglärmkommission Leipzig-Halle hieß es zum Beispiel: „Wenn sich die Flughafengesellschaft auf die Nennung des Flughafens Leipzig/Halle als Frachtflughafen in den ,Leitlinien der Flughafenpolitik des Bundes‘ beruft, dann sollte sie auch die dort genannten Empfehlungen umsetzen.“
Dort heißt es auf Seite 76 z. B.: „Bezüglich des durchgehenden Nachtflugbetriebs setzt sich die Bundesregierung dafür ein, dass die Luftfahrtunternehmen nur Fluggerät einsetzen dürfen, das mindestens den Anforderungen des strengsten jeweils geltenden Lärmkapitels des Anhangs 16 zur sog. ICAO-Konvention entspricht.“

Prof. Carius zu dieser Abstimmung: „Die Mehrheit der Mitglieder der Fluglärmkommission am Flughafen Leipzig-Halle befürwortet die Quersubvention des Nachtflugbetriebs durch die Entgelte aus dem Betrieb tags. Dieser Flughafen ist in Deutschland der einzige, der bei Landeentgelten nachts keine Zuschläge verlangt. Damit verstößt er gegen das gesetzliche Gebot (§ 19b LuftVG), dass Landeentgelte unter Lärmgesichtspunkten zu differenzieren sind. Eine Differenzierung nach tags/nachts, wie an anderen Flughäfen, findet hier nicht statt.“
„Dass die Fluglärmkommission hinsichtlich ihres zweifelhaften Engagements zum Schutz der Anwohner schon immer in der Kritik steht, ist bekannt“, sagt Zimmermann. „Der eigentliche Skandal an diesem Vorgang aber ist, dass sich die FLK mit der Ablehnung des Antrages der Bundesvereinigung gegen Fluglärm gegen die Sächsische Landesregierung wendet, die in ihrem Regierungsprogramm verspricht: ,Wir werden weitere Maßnahmen zur Begrenzung der Fluglärmbelastung ergreifen. Instrumente dafür sind die Spreizung der Start-und Landeentgelte…‘“ Das Zitat findet man auf Seite 52 des Koalitionsvertrages.
Da steht übrigens auch: „Wir unterstützen die Bemühungen um eine weitgehende Abschaffung der kurzen Südabkurvung am Flughafen Leipzig/Halle …“
Die Pressemitteilung aber klingt eher danach, als wolle man möglichst nicht auf die Südabkurvung verzichten: „Die Deutsche Flugsicherung (DFS) stellte in einem Zwischenbericht die bisherigen Erfahrungen mit der operativen Abwicklung hinsichtlich der Einführung der neuen Anflugverfahren dar. Auch wenn die gesetzlichen Grundlagen und Vorschriften die DFS hierzu nicht verpflichten, konnte den Flugspuren entnommen werden, dass gegenüber den anderen Varianten Überflüge in der Nacht über die Stadtgebiete von Halle und Leipzig reduziert werden. Es wurde darauf hingewiesen, dass es zukünftig nachts trotzdem zu Überflügen über die Städte Halle und Leipzig kommen kann, wann immer es flugsicherungsseitig betrieblich notwendig ist.“
Und eher wie ein Ausweichmanöver klingt die Aussage in der Pressemitteilung: „Zum Einsatz von Antonov-Flugzeugen konnte festgestellt werden, dass sich die Anzahl der Flugbewegungen des Typs AN 12 von 483 Flugbewegungen im Jahr 2019 auf 40 im Jahr 2020 (Stand August) reduziert hat. Diese Reduzierung bewirkte eine Entlastung für Lärmbetroffene im Flughafenumfeld.“
Die AN 12 machte aber auch schon 2018 mit ihren 484 Flugbewegungen nur einen winzigen Teil der nächtlichen Starts und Landungen aus. Wirklich gesunken sind die Lärmpegel nicht, denn dafür kamen andere, meist deutlich größere Maschinen auch westlicher Bauart zum Einsatz, die dann nachts im Minutentakt abheben. Und da die Zahl dieser nächtlichen Starts und Landungen immer weiter zunimmt, nimmt auch die Lärmbelastung rund um den Flughafen zu. Stattdessen werden immer neue Bereiche überflogen – mit dem neuen Anflugverfahren geriet nun auch Markkleeberg im Leipziger Süden verstärkt in die Lärmschneise.
Aber aus Sicht des FLK-Vorsitzenden ist das eher kein Problem. „In diesem Zusammenhang wies der Vorsitzende der Fluglärmkommission, Herr Bürgermeister Schwalbe, darauf hin, dass sich die neuen Anflugverfahren nicht in einem Probebetrieb befinden. Bei der Variantenentscheidung für die Anflugverfahren wurde durch die Fluglärmkommission die Variante bevorzugt, aus der im Ergebnis der Bevölkerungsdichteanalyse die geringste Anzahl an Überflogenen resultieren“, heißt es in der Pressemitteilung.
Die beantragte Lärmmessstelle bekommt Markkleeberg trotzdem: „Auf Antrag des Landkreises Leipzig hat die Kommission den Einsatz einer mobilen Messstelle in Markkleeberg beschlossen. Der Einsatz ist ab Februar 2021 vorgesehen. Die Messung wurde gegenüber anderen, schon geplanten Messungen bevorzugt bestätigt.“
„Wen wundert es, dass die Bürger sich sagen ,Es reicht! – kein weiterer Ausbau des Frachtflughafens‘, keine nochmaligen 500 Millionen Euro in ein ökologisch nicht nachhaltiges Projekt“, sagt Zimmermann.
Und verweist auf die von der Bürgerinitiative „Gegen die neue Flugroute“ gestartete Petition gegen den weiteren Ausbau des Frachtflughafens, die inzwischen von über 4.500 Menschen unterzeichnet wurde.
Mit dem neuen Anflugverfahren wird Fluglärm jetzt auch zum Wahlkampfthema in Markkleeberg
Mit dem neuen Anflugverfahren wird Fluglärm jetzt auch zum Wahlkampfthema in Markkleeberg
30 Jahre deutsch-deutsche Parallelwelt: Höchste Zeit, die betonierten Vorurteile zu demontieren
30 Jahre deutsch-deutsche Parallelwelt: Höchste Zeit, die betonierten Vorurteile zu demontieren
Hinweis der Redaktion in eigener Sache
Seit der „Coronakrise“ haben wir unser Archiv für alle Leser geöffnet. Es gibt also seither auch für Nichtabonnenten unter anderem alle Artikel der LEIPZIGER ZEITUNG aus den letzten Jahren zusätzlich auf L-IZ.de über die tagesaktuellen Berichte hinaus ganz ohne Paywall zu entdecken.
Unterstützen Sie lokalen/regionalen Journalismus und so unsere tägliche Arbeit vor Ort in Leipzig. Mit dem Abschluss eines Freikäufer-Abonnements (zur Abonnentenseite) sichern Sie den täglichen, frei verfügbaren Zugang zu wichtigen Informationen in Leipzig und unsere Arbeit für Sie.
Vielen Dank dafür.
Empfohlen auf LZ
So können Sie die Berichterstattung der Leipziger Zeitung unterstützen:










Keine Kommentare bisher